十大排序算法
十大排序算法
概述
其中 冒泡,选择,归并,快速,希尔,堆排序属于比较排序

稳定性理解
如果相等的两个元素,在排序前后的相对位置保持不变,那么这是稳定的排序算法。
排序前:5,1,3(a),4,7,3(b)
稳定的排序:1,3(a),3(b),4,5,7
不稳定的排序:1,3(b),3(a),4,5,7
原地算法(In-place Algorithm)理解
定义:不依赖额外的资源或依赖少数的额外资源(空间复杂度较低),仅依靠输出覆盖输入(例如直接对输入的数组进行操作)
工具类
用于提供测试数据与测试代码正确性
断言工具类
public class Asserts {
public static void test(boolean value) {
try {
if (!value) throw new Exception("测试未通过");
} catch (Exception e) {
e.printStackTrace();
}
}
}Integers工具类
public class Integers {
/** 生成随机数 */
public static Integer[] random(int count, int min, int max) {
if (count <= 0 || min > max) return null;
Integer[] array = new Integer[count];
int delta = max - min + 1;
for (int i = 0; i < count; i++) {
array[i] = min + (int)(Math.random() * delta);
}
return array;
}
/** 合并两个数组 */
public static Integer[] combine(Integer[] array1, Integer[] array2) {
if (array1 == null || array2 == null) return null;
Integer[] array = new Integer[array1.length + array2.length];
for (int i = 0; i < array1.length; i++) {
array[i] = array1[i];
}
for (int i = 0; i < array2.length; i++) {
array[i + array1.length] = array2[i];
}
return array;
}
public static Integer[] same(int count, int unsameCount) {
if (count <= 0 || unsameCount > count) return null;
Integer[] array = new Integer[count];
for (int i = 0; i < unsameCount; i++) {
array[i] = unsameCount - i;
}
for (int i = unsameCount; i < count; i++) {
array[i] = unsameCount + 1;
}
return array;
}
/**
* 生成头部和尾部是升序的数组
* disorderCount:希望多少个数据是无序的
*/
public static Integer[] headTailAscOrder(int min, int max, int disorderCount) {
Integer[] array = ascOrder(min, max);
if (disorderCount > array.length) return array;
int begin = (array.length - disorderCount) >> 1;
reverse(array, begin, begin + disorderCount);
return array;
}
/**
* 生成中间是升序的数组
* disorderCount:希望多少个数据是无序的
*/
public static Integer[] centerAscOrder(int min, int max, int disorderCount) {
Integer[] array = ascOrder(min, max);
if (disorderCount > array.length) return array;
int left = disorderCount >> 1;
reverse(array, 0, left);
int right = disorderCount - left;
reverse(array, array.length - right, array.length);
return array;
}
/**
* 生成头部是升序的数组
* disorderCount:希望多少个数据是无序的
*/
public static Integer[] headAscOrder(int min, int max, int disorderCount) {
Integer[] array = ascOrder(min, max);
if (disorderCount > array.length) return array;
reverse(array, array.length - disorderCount, array.length);
return array;
}
/**
* 生成尾部是升序的数组
* disorderCount:希望多少个数据是无序的
*/
public static Integer[] tailAscOrder(int min, int max, int disorderCount) {
Integer[] array = ascOrder(min, max);
if (disorderCount > array.length) return array;
reverse(array, 0, disorderCount);
return array;
}
/** 升序生成数组 */
public static Integer[] ascOrder(int min, int max) {
if (min > max) return null;
Integer[] array = new Integer[max - min + 1];
for (int i = 0; i < array.length; i++) {
array[i] = min++;
}
return array;
}
/** 降序生成数组 */
public static Integer[] descOrder(int min, int max) {
if (min > max) return null;
Integer[] array = new Integer[max - min + 1];
for (int i = 0; i < array.length; i++) {
array[i] = max--;
}
return array;
}
/** 反转数组 */
private static void reverse(Integer[] array, int begin, int end) {
int count = (end - begin) >> 1;
int sum = begin + end - 1;
for (int i = begin; i < begin + count; i++) {
int j = sum - i;
int tmp = array[i];
array[i] = array[j];
array[j] = tmp;
}
}
/** 复制数组 */
public static Integer[] copy(Integer[] array) {
return Arrays.copyOf(array, array.length);
}
/** 判断数组是否升序 */
public static boolean isAscOrder(Integer[] array) {
if (array == null || array.length == 0) return false;
for (int i = 1; i < array.length; i++) {
if (array[i - 1] > array[i]) return false;
}
return true;
}
/** 打印数组 */
public static void println(Integer[] array) {
if (array == null) return;
StringBuilder string = new StringBuilder();
for (int i = 0; i < array.length; i++) {
if (i != 0) string.append("_");
string.append(array[i]);
}
System.out.println(string);
}
}时间测试工具类
public class Times {
private static final SimpleDateFormat fmt = new SimpleDateFormat("HH:mm:ss.SSS");
public interface Task {
void execute();
}
public static void test(String title, Task task) {
if (task == null) return;
title = (title == null) ? "" : ("【" + title + "】");
System.out.println(title);
System.out.println("开始:" + fmt.format(new Date()));
long begin = System.currentTimeMillis();
task.execute();
long end = System.currentTimeMillis();
System.out.println("结束:" + fmt.format(new Date()));
double delta = (end - begin) / 1000.0;
System.out.println("耗时:" + delta + "秒");
System.out.println("-------------------------------------");
}
}Sort抽象父类
public abstract class Sort<T extends Comparable<T>> implements Comparable<Sort<T>> {
/** 目标数组 */
protected T[] array;
/** 比较次数 */
private int cmpCount;
/** 交换次数 */
private int swapCount;
/** 执行时间 */
private long time;
/** 小数格式化 */
private DecimalFormat fmt = new DecimalFormat("#.00");
/**
* 预处理
*/
public T[] sort(T[] array) {
if (array == null || array.length < 2) return null;
this.array = array;
long begin = System.currentTimeMillis();
sort();
time = System.currentTimeMillis() - begin;
return array;
}
/** 目标方法 */
protected abstract void sort();
/**
* 比较数组下标对应的值
*
* 返回值等于0,代表 array[index1] == array[index2]
* 返回值小于0,代表 array[index1] < array[index2]
* 返回值大于0,代表 array[index1] > array[index2]
*/
protected int cmp(int index1, int index2) {
cmpCount++;
return array[index1].compareTo(array[index2]);
}
/** 比较值 */
protected int cmp(T value1, T value2) {
cmpCount++;
return value1.compareTo(value2);
}
/** 交换值 */
protected void swap(int index1, int index2) {
swapCount++;
T tmp = array[index1];
array[index1] = array[index2];
array[index2] = tmp;
}
/** 稳定性测试 */
@SuppressWarnings("unchecked")
private boolean isStable() {
if (this instanceof ShellSort) return false;
Student[] students = new Sort.Student[20];
for (int i = 0; i < students.length; i++) {
//(0,10) (10,10) (20,10) (30,10)
students[i] = new Student(i * 10, 10);
}
sort((T[]) students);//只会对年龄进行排序
for (int i = 1; i < students.length; i++) {
int score = students[i].score;
int prevScore = students[i - 1].score;
if (score != prevScore + 10) return false;
}
return true;
}
private static class Student implements Comparable<Student>{
Integer score;
Integer age;
public Student(Integer score, Integer age) {
this.score = score;
this.age = age;
}
@Override
public int compareTo(Student o) {
return age - o.age;
}
}
/** 排序方式 */
@Override
public int compareTo(Sort o) {
int result = (int)(time - o.time);
if(result != 0) return result;
result = cmpCount - o.cmpCount;
if(result != 0) return result;
return swapCount - o.swapCount;
}
@Override
public String toString() {
return "【" + getClass().getSimpleName() + "】\n"
+ "交换次数 ==> " + numberString(swapCount) + "\n"
+ "比较次数 ==> " + numberString(cmpCount) + "\n"
+ "执行时间 ==> " + time * 0.001 + "s" + "\n"
+ "稳定性 ==> " + isStable() + "\n"
+ "=================================";
}
/** 数字格式化 */
private String numberString(int number) {
if (number < 10000) return "" + number;
if (number < 100000000) {
return fmt.format(number / 10000.0) + "万";
}
return fmt.format(number / 100000000.0) + "亿";
}
}冒泡排序(Bubble Sort)
执行流程
- 从头开始比较每一对相邻元素,如果第一个比第二个大就交换它们的位置。执行完一轮后最末尾哪个元素就是最大的元素
- 忽略第一步找到的最大元素,重复执行第一步,直到全部元素有序

基本实现
public void sort() {
for (int eIndex = array.length - 1; eIndex > 0; eIndex--) {
for (int i = 1; i <= eIndex; i++) {
if (cmp(i, i - 1) < 0) {
swap(i, i - 1);
}
}
}
}优化一
优化方案:如果序列已经完全有序,可以提前终止冒泡排序
缺点:只有当完全有序时才会提前终止冒泡排序,概率很低
public void sort() {
boolean sorted;
for (int eIndex = array.length - 1; eIndex > 0; eIndex--) {
sorted = true;
for (int i = 1; i <= eIndex; i++) {
if (cmp(i,i - 1) < 0) {
swap(i, i - 1);
sorted = false;
}
}
if (sorted) break;
}
}优化二
优化方案:如果序列尾部已经局部有序,可以记录最后一次交换的位置,减少比较次数

public class BubbleSort<T extends Comparable<T>> extends Sort<T> {
/**
* 优化方式二:如果序列尾部已经局部有序,可以记录最后依次交换的位置,减少比较次数
* 为什么这里sortedIndex为1(只要保证 eIndex-- > 0 即可)?
* => 如果sortedIndex为eIndex,当数组第一次就完全有序时,就退回到最初的版本了
* => 如果sortedIndex为1,当数组第一次就完全有序时,一轮扫描就结束了!
*
*/
@Override
public void sort() {
int sortedIndex;
for (int eIndex = array.length - 1; eIndex > 0; eIndex--) {
sortedIndex = 1; //记录最后一次交换的下标位置
for (int i = 1; i <= eIndex; i++) {
if (cmp(i, i - 1) < 0) {
swap(i, i - 1);
sortedIndex = i;
}
}
eIndex = sortedIndex;
}
}
}算法优劣
最坏,平均时间复杂度:O(n^2),最好时间复杂度:O(n)
空间复杂度:O(1)
属于稳定排序
注意:稍有不慎,稳定的排序算法也能被写成不稳定的排序算法,如下冒泡排序是不稳定的
public void sort() {
for (int eIndex = array.length - 1; eIndex > 0; eIndex--) {
for (int i = 1; i <= eIndex; i++) {
if (cmp(i, i - 1) <= 0) {
swap(i, i - 1);
}
}
}
}- 属于原地算法
选择排序(Selection Sort)
执行流程
- 从序列中找出最大的哪个元素,然后与最末尾的元素交换位置。执行完一轮后最末尾那个元素就是最大的元素
- 忽略第一步找到的最大元素,重复执行第一步
这里以选最小元素为例

基本实现
public class SelectionSort<T extends Comparable<T>> extends Sort<T> {
@Override
public void sort() {
for (int eIndex = array.length - 1; eIndex > 0; eIndex--) {
int maxIndex = 0;
for (int i = 1; i <= eIndex; i++) {
//注意:为了稳定性,这里要写 <=
if (cmp(maxIndex, i) <= 0) {
maxIndex = i;
}
}
if(maxIndex != eIndex) swap(maxIndex, eIndex);
}
}
}算法优劣
- 选择排序的交换次数要远少于冒泡排序,平均性能优于冒泡排序
- 最好,最坏,平均时间复杂度均为O(n^2),空间复杂度为O(1),属于不稳定排序
选择排序是否还有优化的空间? => 使用堆来选择最大值
堆排序(Heap Sort)
堆排序可以认为是对选择排序的一种优化
执行流程
- 对序列进行原地建堆(heapify)
- 重复执行以下操作,直到堆的元素数量为1
- 交换堆顶元素与尾元素
- 堆的元素数量减1
- 对0位置进行一次siftDown操作

基本实现
public class HeapSort<T extends Comparable<T>> extends Sort<T> {
/** 记录堆数据 */
private int heapSize;
@Override
protected void sort() {
// 原地建堆(直接使用数组建堆)
heapSize = array.length;
for (int i = (heapSize >> 1) - 1; i >= 0; i--) {
siftDown(i);
}
while (heapSize > 1) {
// 交换堆顶元素和尾部元素
swap(0, --heapSize);
// 对0位置进行siftDown(恢复堆的性质)
siftDown(0);
}
}
/** 堆化 */
private void siftDown(int index) {
T element = array[index];
int half = heapSize >> 1;
while (index < half) { // index必须是非叶子节点
// 默认是左边跟父节点比
int childIndex = (index << 1) + 1;
T child = array[childIndex];
int rightIndex = childIndex + 1;
// 右子节点比左子节点大
if (rightIndex < heapSize &&
cmp(array[rightIndex], child) > 0) {
child = array[childIndex = rightIndex];
}
// 大于等于子节点
if (cmp(element, child) >= 0) break;
array[index] = child;
index = childIndex;
}
array[index] = element;
}
}算法优劣
最好,最坏,平均时间复杂度:O(nlog^n)
空间复杂度:O(1)
属于不稳定排序
冒泡,选择,堆排序比较
@SuppressWarnings({"rawtypes","unchecked"})
public class SortTest {
public static void main(String[] args) {
Integer[] arr1 = Integers.random(10000, 1, 20000);
testSort(arr1,
new SelectionSort(),
new HeapSort(),
new BubbleSort());
}
static void testSort(Integer[] arr,Sort... sorts) {
for (Sort sort: sorts) {
Integer[] newArr = Integers.copy(arr);
sort.sort(newArr);
//检查排序正确性
Asserts.test(Integers.isAscOrder(newArr));
}
Arrays.sort(sorts);
for (Sort sort: sorts) {
System.out.println(sort);
}
}
}
插入排序(Insertion Sort)
执行流程
在执行过程中,插入排序会将序列分为两部分(头部是已经排好序的,尾部是待排序的)
从头开始扫描每一个元素,每当扫描到一个元素,就将它插入到头部适合的位置,使得头部数据依然保持有序

基本实现
public class InsertionSort<T extends Comparable<T>> extends Sort<T> {
@Override
protected void sort() {
for (int i = 1; i < array.length; i++) {
int cur = i;
while(cur > 0 && cmp(cur,cur - 1) < 0) {
swap(cur,cur - 1);
cur--;
}
}
}
}逆序对(Inversion)
什么是逆序对? => 数组 [2,3,8,6,1] 的逆序对为:<2,1> < 3,1> <8,1> <8,6> <6,1>
插入排序的时间复杂度与逆序对的数量成正比关系
时间复杂度最高如下:O(n^2)

优化一
优化思路 => 将交换改为挪动
先将待插入元素备份
头部有序数据中比待插入元素大的,都朝尾部方向挪动1个位置
将待插入元素放到最终合适位置
注意:逆序对越多,该优化越明显

public class InsertionSort<T extends Comparable<T>> extends Sort<T> {
@Override
protected void sort() {
for (int i = 1; i < array.length; i++) {
int cur = i;
T val = array[cur];
while(cur > 0 && cmp(val,array[cur - 1]) < 0) {
array[cur] = array[cur - 1];//优化重点在这里
cur--;
}
array[cur] = val;
}
}
}优化二
优化思路 => 将交换改为二分搜索(较少比较次数)
二分搜索理解
如何确定一个元素在数组中的位置?(假设数组里全是整数)
如果是无序数组,从第 0 个位置开始遍历搜索,平均时间复杂度:O(n)
如果是有序数组,可以使用二分搜索,最坏时间复杂度:O(log^n)
思路
- 如下,假设在 [begin, end) 范围内搜索某个元素 v,mid == (begin + end) / 2
- 如果 v < mid,去 [begin,mid) 范围内二分搜索
- 如果 v > mid,去 [mid + 1,end) 范围内二分搜索
- 如果 v == mid,直接返回 mid

实例

/** 二分搜索-基本实现
* 查找val在有序数组arr中的位置,找不到就返回-1
*/
private static int indexOf(Integer[] arr,int val) {
if(arr == null || arr.length == 0) return -1;
int begin = 0;
//注意这里end设计为arr.length便于求数量(end - begin)
int end = arr.length;
while (begin < end) {
int mid = (begin + end) >> 1;
if(val < arr[mid]) {
end = mid;
} else if(val > arr[mid]) {
begin = mid + 1;
} else {
return mid;
}
}
return -1;
}二分搜索(Binary Search)优化实现
- 之前的插入排序代码,在元素 val 的插入过程中,可以先二分搜索出合适的插入位置,然后将元素 val 插入
- 适合于插入排序的二分搜索必须满足:要求二分搜索返回的插入位置是第1个大于 val 的元素位置
- 如果 val 是 5 ,返回 2
- 如果 val 是 1,返回 0
- 如果 val 是15,返回 7
- 如果 val 是 8,返回 5

- 实现思路
- 假设在 [begin,end) 范围内搜索某个元素 val,mid == (begin + end) / 2
- 如果val < mid,去 [begin,mid) 范围内二分搜索
- 如果val >= mid,去 [mid + 1,end) 范围内二分搜索
- 当 begin == end == x,x 就是待插入位置
- 实例

/**
* 二分搜索-适用于插入排序
* 查找val在有序数组arr中可以插入的位置
* 规定:要求二分搜索返回的插入位置是第1个大于 val 的元素位置
*/
private static int search(Integer[] arr,int val) {
if(arr == null || arr.length == 0) return -1;
int begin = 0;
int end = arr.length;
while (begin < end) {
int mid = (begin + end) >> 1;
if(val < arr[mid]) {
end = mid;
} else {
begin = mid + 1;
}
}
return begin;
}插入排序最终实现
注意:使用了二分搜索后,只是减少了比较次数,但插入排序的平均时间复杂度依然是O(n^2)
public class InsertionSort<T extends Comparable<T>> extends Sort<T> {
/** 优化 => 二分搜索 */
@Override
protected void sort() {
for (int begin = 1; begin < array.length; begin++) {
//这里为什么传索引而不是传值?
// => 传索引还可以知道前面已经排好序的数组区间:[0,i)
insert(begin,search(begin));
}
}
/** 将source位置的元素插入到dest位置 */
private void insert(int source,int dest) {
//将[dest,source)范围内的元素往右边挪动一位
T val = array[source];
for (int i = source; i > dest; i--) {
array[i] = array[i - 1];
}
//插入
array[dest] = val;
}
private int search(int index) {
T val = array[index];
int begin = 0;
int end = index;
while (begin < end) {
int mid = (begin + end) >> 1;
if(cmp(val,array[mid]) < 0) {
end = mid;
} else {
begin = mid + 1;
}
}
return begin;
}
}算法优劣

- 最坏,平均时间复杂度为 O(n^2),最好时间复杂度为 O(n)
- 空间复杂度为 O(1)
- 属于稳定排序
归并排序(Merge Sort)
执行流程
- 不断的将当前序列平均分割成 2 个子序列,直到不能再分割(序列中只剩一个元素)
- 不断的将 2 个子序列合并成一个有序序列,直到最终只剩下 1 个有序序列


思路
merge
大致想法

细节
- 需要 merge 的 2 组序列存在于同一个数组中,并且是挨在一起的

- 为了更好的完成 merge 操作,最好将其中 1 组序列备份出来,比如 [begin,mid)

- 基本实现

- 情况一:左边先结束 => 左边一结束整个归并就结束

- 情况二:右边先结束 => 右边一结束就直接将左边按顺序挪到右边去

基本实现
/**
* @Description 归并排序
* @Author monap
* @Date 2022/1/11 23:07
*/
@SuppressWarnings("unchecked")
public class MergeSort<T extends Comparable<T>> extends Sort<T> {
private T[] leftArr;
@Override
protected void sort() {
leftArr = (T[]) new Comparable[array.length >> 1];
sort(0, array.length);
}
/**
* 对 [begin,end)范围的序列进行归并排序
*/
private void sort(int begin, int end) {
// 元素数量只有一个或则没有则返回
if (end - begin < 2) return;
int mid = (end + begin) >> 1;
sort(begin, mid);
sort(mid, end);
merge(begin, mid, end);
}
/**
* 将 [begin,mid) 和 [mid,end) 范围的序列合并成一个有序序列
*/
private void merge(int begin, int mid, int end) {
int li = 0, le = mid - begin;
int ri = mid, re = end;
int ai = begin;
// 备份左边数组
for (int i = li; i < le; i++) {
leftArr[i] = array[begin + i];
}
//如果左边还没有结束(情况一)
while (li < le) {
//当 ri < re 不成立,就会一直leftArr挪动(情况二)
if (ri < re && cmp(array[ri], leftArr[li]) < 0) {
array[ai++] = array[ri++];
} else {
array[ai++] = leftArr[li++];
}
}
}
}算法优劣

复杂度分析
T(n) = sort() + sort() + merge()
=> T(n) = T(n/2) + T(n/2) + O(n)
=> T(n) = 2T(n/2) + O(n)
//由于sort()是递归调用,用T表示,由于T(n/2)不好估算,现在要理清T(n)与O(n)之间的关系
T(1) = O(1)
T(n)/n = T(n/2) / (n/2) + O(1)
//令S(n) = T(n)/n
S(1) = O(1)
S(n) = S(n/2) + O(1)
= S(n/4) + O(2)
= S(n/8) + O(3)
= S( n/(2^k) ) + O(k)
= S(1) + O(log^n)
= O(lon^n)
T(n) = n*S(n) = O(nlog^n)
=> 归并排序时间复杂度:O(nlog^n)常见递推式

总结
由于归并排序总是平均分割子序列,所以最好,最坏,平均时间复杂度都是:O(nlog^n)
空间复杂度:O(n/2 + log^n) = O(n),n/2用于临时存放左侧数组,log^n用于递归调用
属于稳定排序
快速排序(Quick Sort)
执行流程
从序列中选择一个轴点元素(pivot)
- 假设每次选择 0 位置的元素为轴点元素
利用 pivot 将序列分割成 2 个子序列
- 将小于 pivot 的元素放在pivot前面(左侧)
- 将大于 pivot 的元素放在pivot后面(右侧)
- 等于pivot的元素放哪边都可以
对子序列进行 ① ② 操作,直到不能再分割(子序列中只剩下1个元素)

快速排序的本质:逐渐将每一个元素都转换成轴点元素
轴点构造

时间复杂度
在轴点左右元素数量比较均匀的情况下,同时也是最好的情况
T(n) = 2 ∗ T(n/2) + O(n) = O(nlogn)如果轴点左右元素数量极度不均匀,最坏情况
T(n) = T(n−1) + O(n) = O(n^2)
为了降低最坏情况的出现概率,一般采取的做法是:随机选择轴点元素
基本实现
/**
* @Description 快速排序
* @Author monap
* @Date 2022/1/12 0:57
*/
public class QuickSort<T extends Comparable<T>> extends Sort<T> {
@Override
protected void sort() {
sort(0, array.length);
}
/**
* 对[begin,end)范围的序列进行快速排序
*/
private void sort(int begin, int end) {
if (end - begin < 2) return;
// 确定轴点位置
int mid = pivotIndex(begin, end);
// 对子序列进行快速排序
sort(begin, mid);
sort(mid + 1, end);
}
/**
* 构造出[begin,end)范围的轴点位置
*/
private int pivotIndex(int begin, int end) {
// 在[begin,end)中随机选择一个元素跟begin位置进行交换
swap(begin, begin + (int) (Math.random() * (end - begin)));
// 备份begin位置的元素
T pivotValue = array[begin];
// end指向最后一个元素
end--;
while (begin < end) {
while (begin < end) {
if (cmp(pivotValue, array[end]) < 0) { // 右边元素 > 轴点元素
end--;
} else { // 右边元素 <= 轴点元素
array[begin++] = array[end];
break;
}
}
while (begin < end) {
if (cmp(pivotValue, array[begin]) > 0) { // 右边元素 < 轴点元素
begin++;
} else {
array[end--] = array[begin]; // 右边元素 >= 轴点元素
break;
}
}
}
// 将轴点元素放入最终的位置
array[begin] = pivotValue;
// 返回轴点元素的位置
return begin;
}
}总结:
- 最好、平均时间复杂度:O(nlogn)
- 最坏时间复杂度:O(n^2 )
- 由于递归调用的缘故,空间复杂度:O(logn)
- 属于不稳定排序
与轴点相等的元素
如果序列中的所有元素都与轴点元素相等,利用目前的算法实现,轴点元素可以将序列分割成 2 个均匀的子序列

思考:cmp 位置的判断分别改为 ≤、≥ 会起到什么效果?
=> 轴点元素分割出来的子序列极度不均匀,导致出现最坏时间复杂度 O(n^2 )

希尔排序(Shell Sort)
理解
希尔排序把序列看作是一个矩阵,分成 𝑚 列,逐列进行排序
- 𝑚 从某个整数逐渐减为1
- 当 𝑚 为1时,整个序列将完全有序
因此,希尔排序也被称为递减增量排序(Diminishing Increment Sort)
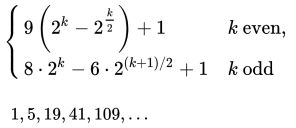
矩阵的列数取决于步长序列(step sequence)
- 比如,如果步长序列为
{1,5,19,41,109,...},就代表依次分成109列、41列、19列、5列、1列进行排序 - 不同的步长序列,执行效率也不同
实例
希尔本人给出的步长序列是 𝑛/2 𝑘,比如 𝑛 为16时,步长序列是 {1, 2, 4, 8}

分成8列进行排序

分成4列进行排序

分成2列进行排序

分成1列进行排序

不难看出来,从8列 变为 1列的过程中,逆序对的数量在逐渐减少,因此希尔排序底层一般使用插入排序对每一列进行排序,也有人认为希尔排序是插入排序的改进版
举例
假设有11个元素,步长序列是 {1, 2, 5}

假设元素在第 col 列、第 row 行,步长(总列数)是 step
- 那么这个元素在数组中的索引是 col + row * step
- 比如 9 在排序前是第 2 列、第 0 行,那么它排序前的索引是 2 + 0 * 5 = 2
- 比如 4 在排序前是第 2 列、第 1 行,那么它排序前的索引是 2 + 1 * 5 = 7
实现
最好情况是步长序列只有1,且序列几乎有序,时间复杂度为 O(n)
空间复杂度为O(1),属于不稳定排序
/**
* @Description 希尔排序
* @Author monap
* @Date 2022/1/13 0:35
*/
public class ShellSort<T extends Comparable<T>> extends Sort<T> {
@Override
protected void sort() {
List<Integer> stepSequence = shellStepSequence();
for (Integer step : stepSequence) {
sort(step);
}
}
/**
* 分成step列进行排序
*/
private void sort(int step) {
for (int col = 0; col < step; col++) { // 对col列进行排序
// 对col、col+step、col+2step、col+3step、... 进行插入排序
for (int i = col + step; i < array.length; i += step) {
int curIndex = i;
while (curIndex > col && cmp(curIndex, curIndex - step) < 0) {
swap(curIndex, curIndex - step);
curIndex -= step;
}
}
}
}
/**
* 希尔本人给出的步长序列
*/
private List<Integer> shellStepSequence() {
List<Integer> stepSequence = new ArrayList<>();
int step = array.length;
while ((step >>= 1) > 0) {
stepSequence.add(step);
}
return stepSequence;
}
}最优步长序列
希尔本人给出的步长序列,最坏情况时间复杂度是 O(n^2 )
目前已知的最好的步长序列,最坏情况时间复杂度是 O(n^4/3 ) ,1986年由Robert Sedgewick提出

/**
* sedgewick给出的步长序列
*/
private List<Integer> sedgewickSequence() {
List<Integer> stepSequence = new LinkedList<>();
int k = 0, step = 0;
while (true) {
if (k % 2 == 0) {
int pow = (int) Math.pow(2, k >> 1);
step = 1 + 9 * (pow * pow - pow);
} else {
int pow1 = (int) Math.pow(2, (k - 1) >> 1);
int pow2 = (int) Math.pow(2, (k + 1) >> 1);
step = 1 + 8 * pow1 * pow2 - 6 * pow2;
}
if (step >= array.length) break;
stepSequence.add(0, step);
k++;
}
return stepSequence;
}计数排序(Counting Sort)
理解
之前的冒泡、选择、插入、归并、快速、希尔、堆排序,都是基于比较的排序,平均时间复杂度目前最低是 O(nlogn)
计数排序、桶排序、基数排序,都不是基于比较的排序,它们是典型的用空间换时间,在某些时候,平均时间复杂度可以比 O(nlogn) 更低
计数排序于1954年由Harold H. Seward提出,适合对一定范围内的整数进行排序
计数排序的核心思想:统计每个整数在序列中出现的次数,进而推导出每个整数在有序序列中的索引
最简单的实现

这个版本的实现存在以下问题
- 无法对负整数进行排序
- 极其浪费内存空间
- 是个不稳定的排序
/**
* @Description 计数排序,只能对非负整数进行排序
* @Author monap
* @Date 2022/1/13 1:32
*/
public class CountingSort extends Sort<Integer> {
@Override
protected void sort() {
// 找出最大值
int max = array[0];
for (int i = 1; i < array.length; i++) {
if (array[i] > max) {
max = array[i];
}
}
// 开辟内存空间,存储每个整数出现的次数
int[] counts = new int[1 + max];
// 统计每个整数出现的次数
for (int i = 0; i < array.length; i++) {
counts[array[i]]++;
}
// 根据整数出现次数,对整数进行排序
int index = 0;
for (int i = 0; i < counts.length; i++) {
while (counts[i]-- > 0) {
array[index++] = i;
}
}
}
}改进思路

假设array中的最小值是 min
array中的元素 k 对应的 counts 索引是 k – min
array中的元素 k 在有序序列中的索引为 counts[k – min] – p(p 代表着是倒数第几个 k)
比如元素 8 在有序序列中的索引为 counts[8 – 3] – 1,结果为 7
倒数第 1 个元素 7 在有序序列中的索引为 counts[7 – 3] – 1,结果为 6
倒数第 2 个元素 7 在有序序列中的索引为 counts[7 – 3] – 2,结果为 5
图示:从右向左开始遍历原数组
为什么从右向左遍历?=> 从右向左遍历可以保证稳定性!





改进实现
- 最好、最坏、平均时间复杂度:O(n + k),k为整数的取值范围
- 空间复杂度:O(n + k)
- k 是整数的取值范围
- 属于稳定排序
/**
* @Description 计数排序优化
* @Author monap
* @Date 2022/1/20 22:23
*/
public class CountingSort1 extends Sort<Integer> {
@Override
protected void sort() {
// 找出最值
int max = array[0];
int min = array[0];
for (int i = 1; i < array.length; i++) {
if (array[i] > max) {
max = array[i];
}
if (array[i] < min) {
min = array[i];
}
}
// 开辟内存空间,存储次数(当前值的次数加上前面值的累加次数)
int[] counts = new int[max - min + 1];
// 统计每个整数出现的次数
for (Integer a : array) {
counts[a - min]++;
}
// 累加次数
for (int i = 1; i < counts.length; i++) {
counts[i] += counts[i - 1];
}
// 从左向右遍历原数组,将它放入有序数组中的合适位置
int[] newArray = new int[array.length];
for (int i = array.length - 1; i >= 0; i--) {
newArray[--counts[array[i] - min]] = array[i];
}
// 将有序数组复制到array
for (int i = 0; i < newArray.length; i++) {
array[i] = newArray[i];
}
}
}对自定义对象进行排序
如果自定义对象可以提供用以排序的整数类型,依然可以使用计数排序
基数排序(Radix Sort)
理解
基数排序非常适合用于整数排序(尤其是非负整数),因此这里只演示对非负整数进行基数排序
执行流程:依次对个位数、十位数、百位数、千位数、万位数...进行排序(从低位到高位)

个位数、十位数、百位数的取值范围都是固定的0~9,可以使用计数排序对它们进行排序
思考:如果先对高位排序,再对低位排序,是否可行?
=> 不行,高位数权重更高!
实现
- 最好、最坏、平均时间复杂度:O(d ∗ (n + k)) ,d 是最大值的位数,k 是进制。
- 属于稳定排序
- 空间复杂度:O(n + k),k 是进制
/**
* @Description 基数排序
* @Author monap
* @Date 2022/1/20 22:54
*/
public class RadixSort extends Sort<Integer> {
@Override
protected void sort() {
// 找出最大值
int max = array[0];
for (int i = 1; i < array.length; i++) {
if (array[i] > max) {
max = array[i];
}
}
/*
* 百位数: array[i] / 100 % 10 = 5
* 十位数: array[i] / 10 % 10 = 9
* 个位数: array[i] / 1 % 10 = 3
*/
for (int divider = 1; divider <= max; divider *= 10) {
countingSort(divider);
}
}
/**
* 对取值范围为 0~9 的序列进行计数排序
*/
private void countingSort(int divider) {
// 开辟内存空间,存储次数(当前值的次数加上前面值的累加次数)
int[] counts = new int[10]; // 9 - 0 + 1
// 统计每个整数出现的次数
for (Integer a : array) {
counts[a / divider % 10]++;
}
// 累加次数
for (int i = 1; i < counts.length; i++) {
counts[i] += counts[i - 1];
}
// 从左向右遍历原数组,将它放入有序数组中的合适位置
int[] newArray = new int[array.length];
for (int i = array.length - 1; i >= 0; i--) {
newArray[--counts[array[i] / divider % 10]] = array[i];
}
// 将有序数组复制到array
for (int i = 0; i < newArray.length; i++) {
array[i] = newArray[i];
}
}
}另一种思路
开辟十个数组并编号为0~9,如下图竖着放的十个数组。
遍历原数组的n进制位的数(如个位数,十位数,百位数...)依次放入对应数组编号的数组中去。
每按进制位遍历完一次后,将新数组按编号将值依次放回原数组中
重复最大二进制次,则序列有序!

另一种思路的实现
- 空间复杂度是 O(kn + k) ,时间复杂度是 O(dn)
- d 是最大值的位数,k 是进制
/**
* @Description 基数排序的另一种实现
* @Author monap
* @Date 2022/1/20 23:35
*/
public class RadixSort1 extends Sort<Integer> {
@Override
protected void sort() {
// 找出最大值
int max = array[0];
for (int i = 1; i < array.length; i++) {
if (array[i] > max) {
max = array[i];
}
}
// 创建桶数组
int[][] buckets = new int[10][array.length];
// 记录每个桶的元素数量
int[] bucketSizes = new int[buckets.length];
for (int divider = 1; divider <= max; divider *= 10) {
// 将原数组元素放入对应桶中
for (int i = 0; i < array.length; i++) {
int no = array[i] / divider % 10;
buckets[no][bucketSizes[no]++] = array[i];
}
// 桶中取出数据依次放入原数组
int index = 0;
for (int i = 0; i < buckets.length; i++) {
for (int j = 0; j < bucketSizes[i]; j++) {
array[index++] = buckets[i][j];
}
bucketSizes[i] = 0;
}
}
}
}桶排序(Bucket Sort)
理解
执行流程
- 创建一定数量的桶(比如用数组、链表作为桶)
- 按照一定的规则(不同类型的数据,规则不同),将序列中的元素均匀分配到对应的桶
- 分别对每个桶进行单独排序
- 将所有非空桶的元素合并成有序序列
针对 0~1 的小数进行排序,定义一个规则:元素在桶中的索引 => 元素值 * 元素数量

实现
- 空间复杂度:O(n + m),m 是桶的数量
- 时间复杂度:由下列公式得 O(n + k) ,k 为 n ∗ logn − n ∗ logm
$$
O(n) + m ∗ O(\frac{n}{m} * log \frac{n}{m}) = O(n + n ∗log\frac{n}{m})= O(n + n ∗ logn − n ∗ logm)
$$
- 属于稳定排序
/**
* @Description 桶排序,针对值为 0~1 的小数
* @Author monap
* @Date 2022/1/20 23:44
*/
public class BucketSort extends Sort<Double> {
@Override
protected void sort() {
// 桶数组
List<Double>[] buckets = new List[array.length];
for (int i = 0; i < array.length; i++) {
int bucketIndex = (int) (array[i] * array.length);
List<Double> bucket = buckets[bucketIndex];
if (bucket == null) {
bucket = new LinkedList<>();
buckets[bucketIndex] = bucket;
}
bucket.add(array[i]);
}
// 对每个桶进行排序
int index = 0;
for (int i = 0; i < buckets.length; i++) {
if (buckets[i] == null) continue;
// 调用java官方的排序,可能是快排
buckets[i].sort(null);
for (Double d : buckets[i]) {
array[index++] = d;
}
}
}
}